Противоболевые эффекты импульсной магнитотерапии при лечении идиопатического остеоартроза тазобедренного сустава
- Авторы: Бяловский Ю.Ю.1, Иванов А.В.2, Ракитина И.С.1, Мареева М.Ю.3
- 
							Учреждения: 
							- Рязанский государственный медицинский университет имени академика И.П. Павлова
- Елатомский приборный завод
- Московский областной научно-исследовательский институт акушерства и гинекологии
 
- Выпуск: Том 23, № 3 (2024)
- Страницы: 153-163
- Раздел: Оригинальные исследования
- Статья опубликована: 15.12.2024
- URL: https://rjpbr.com/1681-3456/article/view/635244
- DOI: https://doi.org/10.17816/rjpbr635244
- ID: 635244
Цитировать
Полный текст
 Открытый доступ
		                                Открытый доступ Доступ предоставлен
						Доступ предоставлен Доступ платный или только для подписчиков
		                                							Доступ платный или только для подписчиков
		                                					Аннотация
Обоснование. Остеоартроз — наиболее часто диагностируемое заболевание опорно-двигательного аппарата. Рост числа пациентов, ожидающих хирургического лечения, и возможные негативные последствия, возникающие в результате длительной фармакологической терапии, приводят к поиску нефармакологических методов, направленных на облегчение боли и снижение доз анальгетиков, в том числе физиотерапии с использованием магнитных полей.
Цель исследования — оценка противоболевых эффектов импульсной магнитотерапии у пациентов с идиопатическим остеоартрозом тазобедренного сустава.
Материалы и методы. В рандомизированном исследовании приняли участие 28 мужчин в возрасте от 48 до 75 лет (средний возраст — 62,8 года), у которых диагностирован идиопатический остеоартроз тазобедренного сустава. Испытуемые были разделены на 2 группы (по 14 пациентов в каждой): в первую группу вошли пациенты, получавшие цикл импульсной магнитотерапии, во вторую — пациенты без магнитотерапии (группа сравнения). В течение цикла воздействия обе группы многократно проходили оценку настроения, интенсивности боли и дозы анальгезирующих препаратов.
Результаты. В оценке настроения респондентов статистически значимых различий не обнаружено. Значительное снижение интенсивности воспринимаемой боли наблюдалось в группе магнитотерапии на 14-й, 21-й день цикла процедур и 1 неделю после терапевтического цикла (p<0,05). В группе пациентов, прошедших курс магнитотерапии, применение обезболивающих препаратов было достоверно ниже на 14% (р<0,05) по сравнению с исходными значениями, чего не отмечалось в группе сравнения.
Заключение. Применение импульсной магнитотерапии в лечении мужчин с идиопатическим остеоартрозом тазобедренных суставов вызывает статистически значимое увеличение противоболевого эффекта с сопутствующим снижением потребности в анальгетических препаратах, но без каких-либо существенных изменений настроения пациента.
Полный текст
ОБОСНОВАНИЕ
Остеоартроз — дегенеративно-дистрофический процесс, имеющий хронический характер и многофакторную этиологию. При его течении в результате нарушения регенеративных процессов субхондрального слоя и суставных хрящей возникают пролиферативные поражения (остеофиты) в суставах, которые приводят к ограничению их подвижности с сопутствующими сильными болями не только при движениях, но и в покое [1].
Остеоартрозом (ОА) тазобедренного сустава страдают около 3,2 млн человек во всём мире. У населения старше 65 лет это самая частая причина инвалидности после сердечно-сосудистых заболеваний. Около 30% больных ОА тазобедренного сустава страдают поражением обоих суставов [2]. Если ОА суставов рук чаще встречается у молодых женщин (50–55 лет), то ОА тазобедренных суставов значительно чаще встречается у пациентов в возрасте от 63 до 85 лет [3]. Ожирение — важный фактор риска, способствующий развитию и возникновению ранних дегенеративных изменений коленных суставов [4]. Диагноз ОА тазобедренного сустава, основанный на физикальном осмотре и подтверждённый рентгенологическим исследованием (таза и тазобедренных суставов), не является показанием для направления пациента на эндопротезирование [5]. Только в случае запущенных форм наиболее эффективным методом лечения является тотальное эндопротезирование тазобедренного сустава [6]. У пациентов, имеющих противопоказания к эндопротезированию из-за многочисленных проблем со стороны внутренних органов, применяют консервативное лечение с использованием анальгетиков и физиотерапии. Её эффективность при лечении боли при дегенеративном заболевании во многом зависит от знания и выбора показаний, на основании которых рекомендуется обращение к физиотерапевту [7]. Выбор конкретного метода физиотерапии или лечебной физкультуры должен учитывать как клиническое состояние пациента, так и опыт физиотерапевта [8]. Применение анальгетиков улучшает качество жизни пациентов, однако их длительное применение может привести к множеству побочных эффектов (токсическому воздействию на печень и почки, систему кроветворения, слизистую оболочку желудочно-кишечного тракта и др.), а также влечёт за собой существенные затраты на медикаментозное лечение. В недавнем обзоре J.B. Thorlund и соавт. было показано, что хроническое (более 1 года) применение анальгетиков у пациентов с ОА тазобедренных суставов влияет на обострение симптомов сопутствующих заболеваний в пролеченной группе [9]. Острое кровотечение из верхних отделов желудочно-кишечного тракта — частое осложнение хронического применения нестероидных противовоспалительных препаратов (НПВП) в анальгетической терапии, представляющее угрозу для жизни. Ежегодно в России госпитализируют более 26 тыс. пациентов старше 65 лет с желудочно-кишечными кровотечениями, вызванными злоупотреблением НПВП, из которых погибают более 16% [10]. Стоимость одного случая лечения этого осложнения анальгетической фармакотерапии составляет почти 98 тыс. рублей [10]. В свете изложенных данных представляется оправданным непрерывный поиск неинвазивных, безопасных и дешёвых методов терапии, альтернативных фармакологическим методам лечения ОА тазобедренных суставов.
Вычисление затрат на лечение ОА тазобедренных суставов импульсным электромагнитным полем и анальгетиками из расчёта средней суточной дозы парацетамола в 1500 мг показывает, что прямые затраты на обе формы терапии сопоставимы, однако в случае лечения только парацетамолом (как базовым типом анальгетика) в затратах необходимо дополнительно учитывать стоимость лечения осложнений при воспалительных и геморрагических заболеваниях верхних отделов желудочно-кишечного тракта.
Хронические заболевания опорно-двигательного аппарата с постоянными болями, продолжающимися годами, а также хирургические вмешательства могут вызывать депрессию, расстройства настроения или тревогу. Каждый пациент реагирует на заболевание индивидуально, и негативные реакции проявляются в разной степени. Некоторые из них могут перерасти в хронические невротические или депрессивные синдромы, возникающие даже при благоприятном прогнозе физического здоровья [11]. В периоперационном периоде может наблюдаться депрессия, которая является следствием восприятия больными факта операции, анализа смысла жизни, собственного положения. Высокая выраженность тревожно-депрессивных реакций, превышающая адаптационные возможности больных, может способствовать осложнениям в ходе лечения и реабилитации [11].
В настоящее время борьба с болью стала одной из самых распространённых форм деятельности врача. Для полного устранения или значительного уменьшения её применяют фармакологические (пероральные или внутрисуставные), хирургические и другие методы анальгетической терапии. Согласно действующим клиническим рекомендациям, тотальное эндопротезирование коротким метафизарным штифтом должно использоваться в стандартных хирургических вмешательствах у пациентов с ОА тазобедренного сустава. Пациентам, ожидающим артропластику или не имеющим показаний к ней, могут быть полезны симптоматическая, мануальная и физиотерапия [6, 12]. Среди методов обезболивающей физиотерапии с доказанным положительным влиянием в медицинской практике применяется магнитотерапия. Наиболее часто используются импульсные магнитные поля с частотой до 100 Гц и величиной индукции магнитного поля до 15 мТл. Обезболивающее действие низкочастотных магнитных полей сравнимо с эффектом морфина в проведённых до сих пор экспериментальных исследованиях [13].
Цель исследования — оценка противоболевых эффектов импульсной магнитотерапии у пациентов с идиопатическим остеоартрозом тазобедренного сустава.
МАТЕРИАЛЫ И МЕТОДЫ
Дизайн исследования
Одноцентровое сравнительное поперечное рандомизированное клиническое исследование.
Условия проведения
Исследование было проведено в амбулаторных условиях врачом-физиотерапевтом при консультативной помощи специалистов Рязанского государственного медицинского университета имени академика И.П. Павлова на базе медицинского центра «ЕЛАМЕД» (г. Рязань). Период проведения исследования: с мая 2023 г. по июнь 2024 г.
Критерии соответствия
Критерии включения:
- мужской пол и возраст старше 45 лет;
- наличие в анамнезе идиопатического ОА тазобедренного сустава 3 степени по шкале Келлгрена и Лоуренса;
- хорошая переносимость импульсных магнитных полей;
- подписанное добровольное информированное согласие на участие в исследовании;
- наличие постоянной боли в тазобедренном суставе в течение года до начала исследования;
- постоянный приём обезболивающих в течение последнего года.
Критерии невключения:
- пациенты женского пола;
- пациенты моложе 45 лет;
- пациенты с непереносимостью магнитного поля;
- пациенты с ОА тазобедренного сустава 4 степени по шкале Келлгрена и Лоуренса;
- пациенты с вторичными типами ОА тазобедренного сустава;
- пациенты с онкологическими заболеваниями в анамнезе;
- пациенты с психическими заболеваниями;
- отсутствие добровольного информированного согласия на участие в исследовании.
Критерии исключения:
- отказ пациента или его опекуна от участия в исследовании во время реализации программы;
- развитие нежелательных реакций на процедуры;
- обострение хронических заболеваний пациента в период реализации программы, требующее прерывания исследования.
Описание вмешательства
В исследовании приняли участие 28 мужчин в возрасте от 48 до 75 лет (средний возраст — 62,8 года), проходивших лечение по поводу идиопатического ОА тазобедренного сустава в ортопедическом отделении медицинского центра «ЕЛАМЕД». В программу исследований вошли пациенты, ожидающие эндопротезирование, у которых боль, связанная с дегенеративным поражением одного тазобедренного сустава, сохранялась не менее одного года. Отнесение указанных больных в исследовательскую группу осуществлялось врачом-ортопедом на основании результатов физикального обследования тазобедренного сустава, подтверждённых рентгенологическим исследованием.
Пациенты были разделены на 2 группы. Первая включала 14 пациентов, получавших лечение электромагнитным полем и стандартную терапию НПВП. Вторая — 14 пациентов, получавших только стандартную терапию НПВП (группа сравнения). Распределение участников в группы осуществлялось случайным образом при помощи рандомизации и таблиц случайных чисел.
Магнитотерапию проводили с использованием импульсного электромагнитного поля, формируемого аппаратом «АЛМАГ+» (АО «ЕЛАМЕД», Россия; регистрационный номер РЗН 2017/6194 oт 23 ноября 2017 г.). В исследовании использовался режим № 1 (основной), описанный в паспорте аппарата: индукторная гибкая линейка излучателей с помощью эластичных лент фиксировалась вокруг поражённого тазобедренного сустава, при этом полюса «N» индукторов в линейке располагались по направлению к телу пациента; применяли импульсное переменное магнитное поле пилообразной формы с частотой импульсов 6,25 Гц, мощностью 26 мТл, длительностью каждого сеанса 20 мин. Лечебный курс составил 21 день с одной процедурой в сутки [14]. Процедуры магнитотерапии проводились ежедневно в одно и то же время в утренние часы в течение трёх недель с перерывом по субботам и воскресеньям.
Методы регистрации исходов
Состояние настроения оценивали по следующей схеме: до начала воздействия и затем через 1 час после окончания воздействия на 1, 7, 14, 21, 28 и 35-й дни цикла терапии по модифицированной 7-пунктовой шкале оценки депрессии Гамильтона. Боль оценивали по 10-балльной визуально-аналоговой шкале (ВАШ): 0 баллов — отсутствие боли; 10 баллов — самая сильная боль, которая наблюдалась у пациента в течение жизни [15]. Оценку интенсивности боли проводили по аналогичной схеме: за 1 час до начала воздействия и затем через 1 час после окончания воздействия на 1, 7, 14, 21, 28 и 35-й дни цикла терапии. Последние две оценки проводились на 7 и 14-й дни после окончания терапевтического цикла. В том числе было оценено количество анальгетиков, принимаемых ежедневно в течение программы. В ходе исследования пациенты обеих групп самостоятельно принимали анальгетики. Их дозировка для каждого была нормализована в зависимости от количества, принимаемого до лечения.
Этическое утверждение
Согласие на протокол и программа клинического исследования утверждены локальным этическим комитетом Рязанского государственного медицинского университета имени академика И.П. Павлова (протокол № 9 от 5.06.23). Все пациенты-участники оформляли и подписывали информированное согласие на участие в исследовании.
Статистический анализ
Статистический анализ проводился с использованием пакета SPSS версии 22 (США). Значения, рассчитанные для измеримых переменных, представлены как среднее арифметическое значение (М) со стандартным отклонением (SD). Нормальность распределения проверяли с помощью теста Шапиро–Уилка, а однородность дисперсии — с помощью теста Левена. Сравнительный анализ между обеими группами проводился с использованием t-критерия Стьюдента для независимых выборок и U-критерия Манна–Уитни. В каждой группе для сравнения связанных переменных в отдельные периоды времени исследования использовали t-критерий Стьюдента для зависимых выборок и критерий порядка пар Уилкоксона. Статистически значимыми считали анализируемые различия при уровне значимости р<0,05.
РЕЗУЛЬТАТЫ
Объекты (участники) исследования
Выборка исследования была сформирована по результатам наблюдений за пациентами, проходившими клиническое обследование и лечение по поводу ОА тазобедренных суставов. С целью исключения гендерного влияния на изучаемые противоболевые эффекты в программу включались пациенты мужского пола. Всего отобрали 31 человека. После дополнительного обследования из них в программу не было включено 2 пациента с ОА тазобедренных суставов 4 степени по шкале Келлгрена и Лоуренса и 1 пациент, не подписавший информированное согласие. Таким образом, выборка настоящего клинического исследования включала 28 мужчин в возрасте от 48 до 75 лет. Программу завершили все 28 человек, из которых, соответственно, в группу магнитотерапии и группу сравнения входило по 14 пациентов. У обследуемых обеих групп первичные исходы, настроение, боль и суточную дозу анальгетиков, а также вторичные исходы оценивали до начала программы исследований и затем на 1, 7, 14, 21, 28 и 35-й дни цикла терапии.
Основные результаты исследования
Клиническое состояние пациентов
Характеристика клинического состояния обследуемых обеих групп до начала курса магнитотерапии представлена в табл. 1.
Таблица 1. Характеристика клинического состояния больных идиопатическим остеоартрозом тазобедренного сустава пациентов, проходивших магнитотерапию, и группы сравнения перед началом исследования
Table 1. Characteristics of the clinical condition of patients with idiopathic osteoarthritis of the hip joint, patients who underwent magnetic therapy, and a comparison group before the start of the study
| Параметр | Группа магнитотерапии | Группа сравнения | р | 
| Возраст пациентов, лет | 62,63±7,41 | 63,17±6,23 | 0,894 | 
| Средняя продолжительность боли, лет | 3,89±1,08 | 4,14±0,82 | 0,152 | 
| Состояние настроения по модифицированной 7-пунктовой шкале оценки депрессии Гамильтона, балл | 3,84±0,83 | 3,72±0,91 | 0,669 | 
| Оценка интенсивности боли по 10-ступенчатой визуально-аналоговой шкале, балл | 5,69±1,02 | 6,01±0,95 | 0,907 | 
| Суточная доза обезболивающего препарата (парацетамол, мг) | 1386,6±231,2 | 1342,4±218,8 | 0,790 | 
Как следует из представленных данных, статистически значимых различий исходных значений анализируемых показателей между обеими группами пациентов не наблюдалось.
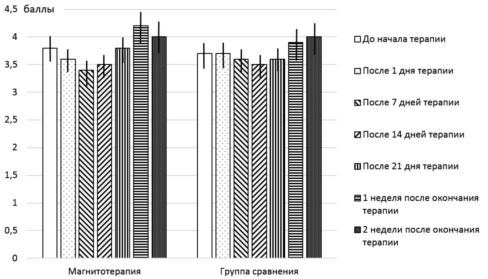
Результаты оценки настроения больных в сравниваемых группах пациентов представлены на рис. 1.
Рис. 1. Сравнение состояния настроения, оцениваемого в баллах по модифицированной 7-пунктовой шкале оценки настроения Гамильтона, у пациентов с идиопатическим остеоартрозом тазобедренного сустава группы больных, получавших магнитотерапию, и группы сравнения в различные сроки исследования.
Как следует из данных, представленных на рис. 1, статистически значимых различий количества баллов 7-пунктовой шкалы оценки настроения Гамильтона, оцениваемой во все сроки регистрации исходов (на 1, 7, 14 и 21-й дни цикла процедур, а также на 7 и 14-й день после окончания цикла процедур магнитотерапии) в обеих группах пациентов с ОА тазобедренного сустава, не наблюдалось (p>0,05).
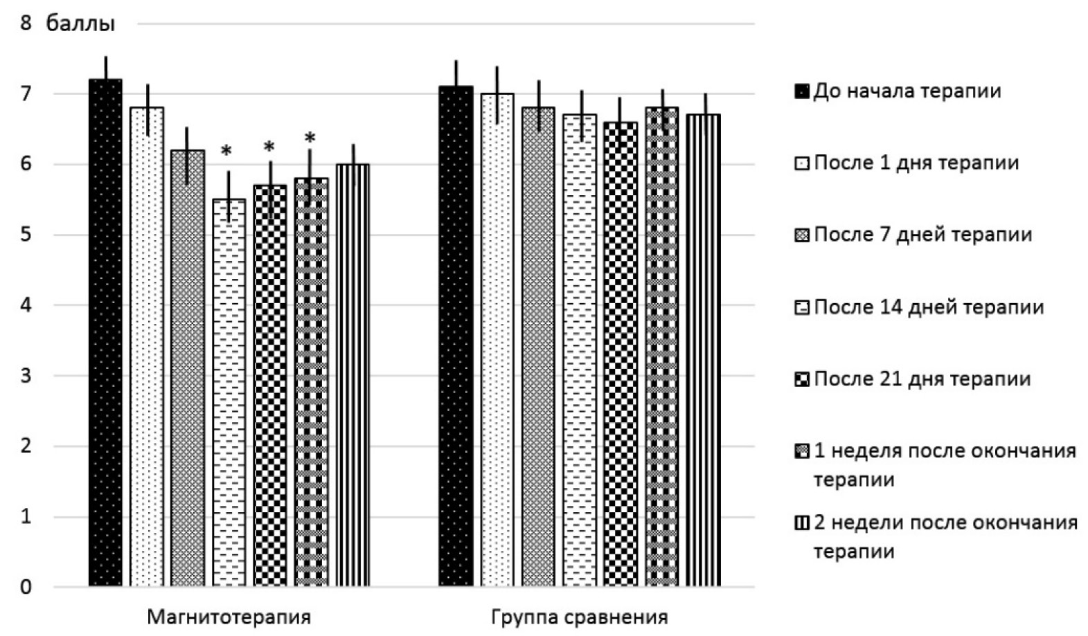
Результаты оценки интенсивности боли по шкале ВАШ в обеих группах представлены на рис. 2. В обеих группах с ОА тазобедренного сустава во все сроки оценки (на 1, 7, 14 и 21-й дни цикла процедур, а также на 7 и 14-й дни после окончания цикла процедур) среднее число баллов по шкале ВАШ значимо уменьшилось, однако у пациентов первой группы, получавших магнитотерапию, показатели были ниже, чем у группы сравнения, но различия были статистически значимыми только на 14 и 21-й дни цикла процедур и через 1 неделю после терапевтического цикла (p<0,05).
Рис. 2. Интенсивность боли (балл), оценённая по визуальной аналоговой шкале, у пациентов с идиопатическим остеоартрозом тазобедренного сустава группы больных, получавших магнитотерапию, и группы сравнения в различные сроки исследования (* — p<0,05 относительно исходного уровня).
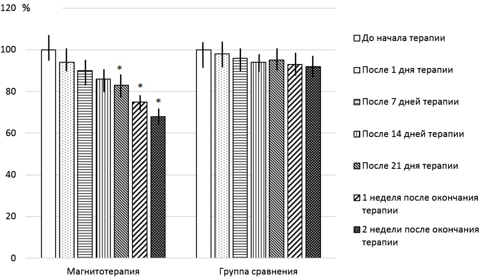
Результаты процентного изменения дозы анальгезирующих препаратов по отношению к исходной дозе, приведённой к 100% в обеих группах пациентов, представлены на рис. 3.
Рис. 3. Относительное изменение дозы анальгезирующих препаратов по отношению к начальной дозе, приведённой к 100%, у пациентов с идиопатическим остеоартрозом тазобедренного сустава группы больных, получавших магнитотерапию, и группы сравнения в различные сроки исследования (* — p<0,05 относительно исходного уровня).
В группе больных, подвергшихся процедурам магнитотерапии, наблюдалась отчётливая тенденция к снижению доз анальгезирующих препаратов по отношению к исходной дозе, причём статистически значимые различия выявлены на 21-й день цикла процедур, а также на 7 и 14-й дни после завершения цикла (p<0,05). Напротив, в группе сравнения достоверных изменений доз анальгезирующих препаратов ни во время цикла процедур, ни после завершения цикла не наблюдалось.
Нежелательные явления
В ходе клинического исследования нами не отмечалось нежелательных явлений.
ОБСУЖДЕНИЕ
По результатам исследования у пациентов сравниваемых групп, получавших и не получавших магнитотерапию, нами не наблюдалось статистически достоверных изменений состояния настроения, оцениваемых по модифицированной шкале оценки депрессии Гамильтона. В работе M. Talarowska-Bogusz и соавт. у больных ОА тазобедренного сустава показана связь между величиной ощущения боли и интенсивностью депрессии, при этом утверждается, что снижение выраженности боли влияет на настроение пациентов с лёгкой и умеренной депрессивной симптоматикой [16]. Собственно антидепрессивных эффектов локальной магнитотерапии не отмечалось. Аналогичные результаты были получены J. Pasek и соавт., которые после применения комбинации магнитотерапии с фармакологическим лечением у пациентов с лекарственно-резистентной депрессией показали статистически значимое клиническое улучшение, прогрессировавшее с продолжительностью воздействия, при этом снижение выраженности симптомов лекарственно-устойчивой депрессии у пролеченного пациента было минимальным [17].
В настоящем исследовании субъективная оценка выраженности боли в тазобедренном суставе подтвердила, что в группе пациентов, подвергнутых процедурам магнитотерапии, произошло достоверное снижение интенсивности воспринимаемой боли на 14, 21-й день цикла процедур и 1 неделю после терапевтического цикла (p<0,05). Аналогичные результаты были получены в исследовании G. Thamsborg и соавт., которые доказали высокую анальгетическую эффективность лечения с использованием импульсного магнитного поля у больных ОА коленного сустава [18]. Похожие результаты были получены G. Letizia Mauro и соавт. при применении процедур магнитотерапии для лечения дегенеративных и воспалительных поражений суставов [19]. Подтверждением вышеизложенных результатов являются исследования J. Pasek и соавт. [17] и K. Beaulieu и соавт. [20], в которых показано положительное влияние лечения с использованием переменных и статических магнитных полей на интенсивность ощущения боли в суставах, в том числе у больных ОА коленных суставов.
В механизме действия переменного магнитного поля важную роль может играть влияние этого физического фактора на нейропатические симптомы у больных ОА. Так, T. Blikman и соавт. определили влияние нейропатических симптомов на специфическую для суставов функцию и качество жизни, связанное со здоровьем (Health-related Quality of Life, HRQoL) у пациентов с ОА тазобедренного и коленного сустава [21]. В этом обсервационном исследовании 255 пациентов с ОА тазобедренного сустава заполняли модифицированный опросник боли (mPDQ) для выявления субъектов с нейропатическими симптомами. Окончательные результаты показали, что нейропатические симптомы ухудшают субъективную оценку качества жизни, связанного с болью, у пациентов с ОА тазобедренного сустава и существенно влияют на функцию суставов у пациентов с ОА коленного сустава. В свою очередь, H.P. French и соавт. оценили распространённость нейропатической боли у людей с ОА тазобедренного или коленного сустава, используя систематический обзор и метаанализ [22]. Авторами проводились наблюдательные исследования, в которых измерялась нейропатическая боль у людей в возрасте 18 лет и старше с ОА. H.P. French и соавт. пришли к выводу, что распространённость нейропатической боли у людей с ОА коленного или тазобедренного сустава значительна и составляет 23% и может быть выше, если исключить другие потенциальные причины боли.
Говоря о механизмах противоболевого действия магнитных полей, следует указать на экспериментальные результаты, которые получили K.P. Ossenkopp и M. Kavaliers [23]. Они показали, что воздействие на мышей линий CF-1 и C57BL переменным магнитным полем существенно ослабляет болевой стресс за счёт активации эндогенных опиоидных систем. По мнению авторов, это произошло из-за изменения уровня содержания ионов кальция в тканях мозга [23]. Принимая во внимание результаты настоящего исследования (в котором длительный болевой синдром можно рассматривать как стрессор) и изученные данные, представляется, что влияние переменного магнитного поля на стимуляцию выброса эндогенных опиатов может быть одним из важнейших механизмов анальгетического эффекта.
В данном исследовании очень важным с точки зрения безопасности здоровья и экономики был анализ динамики использования пациентами анальгезирующих препаратов. Оценка проводилась на 1, 7, 14 и 21-й дни цикла процедур, а также на 7 и 14-й дни после его завершения. В группе больных, прошедших магнитотерапию, статистически значимое снижение доз анальгезирующих препаратов наблюдалось на 21-й день цикла процедур на 14% (р<0,05), а также в течение 2-х недель после окончания курса процедур.
ЗАКЛЮЧЕНИЕ
Применение импульсной магнитотерапии в лечении мужчин с идиопатическим остеоартрозом тазобедренных суставов вызывает статистически значимое увеличение противоболевого эффекта с сопутствующим снижением потребности в анальгетических препаратах, но без каких-либо существенных изменений настроения пациента.
ДОПОЛНИТЕЛЬНАЯ ИНФОРМАЦИЯ
Источник финансирования. Авторы заявляют об отсутствии внешнего финансирования при подготовке статьи.
Конфликт интересов. Авторы декларируют отсутствие явных и потенциальных конфликтов интересов, связанных с публикацией настоящей статьи.
Вклад авторов. Все авторы подтверждают соответствие своего авторства международным критериям ICMJE (все авторы внесли существенный вклад в разработку концепции, проведение исследования и подготовку статьи, прочли и одобрили финальную версию перед публикацией). Наибольший вклад распределён следующим образом: Ю.Ю. Бяловский, А.В. Иванов ― разработка концепции и дизайна исследования; Ю.Ю. Бяловский, И.С. Ракитина, А.В. Иванов ― сбор данных; Ю.Ю. Бяловский, И.С. Ракитина ― анализ и интерпретация результатов; М.Ю. Мареева ― обзор литературы, проведение статистического анализа; А.В. Иванов, И.С. Ракитина ― составление черновика рукописи и формирование его окончательного варианта; Ю.Ю. Бяловский ― критический пересмотр черновика рукописи с внесением замечаний интеллектуального содержания.
ADDITIONAL INFORMATION
Funding source. This work was not supported by any external sources of funding.
Competing interests. The authors declare that they have no competing interests.
Authors' contribution. Аll authors made a substantial contribution to the conception of the work, acquisition, analysis, interpretation of data for the work, drafting and revising the work, final approval of the version to be published and agree to be accountable for all aspects of the work. Yu.Yu. Byalovsky, A.V. Ivanov ― development of the concept and design of the study; Yu.Yu. Byalovsky, I.S. Rakitina, A.V. Ivanov ― data collection; Yu.Yu. Byalovsky, I.S. Rakitina ― analysis and interpretation of results; M.Yu. Mareeva ― literature review, statistical analysis; A.V. Ivanov, I.S. Rakitina ― drafting the manuscript and creating its final version; Yu.Yu. Byalovsky ― critical revision of the draft manuscript with comments of intellectual content.
Об авторах
Юрий Юльевич Бяловский
Рязанский государственный медицинский университет имени академика И.П. Павлова
							Автор, ответственный за переписку.
							Email: b_uu@mail.ru
				                	ORCID iD: 0000-0002-6769-8277
				                	SPIN-код: 6389-6643
																		                								
д-р мед. наук, профессор
Россия, РязаньАлексей Валерьевич Иванов
Елатомский приборный завод
														Email: ivanov@elamed.com
				                	ORCID iD: 0000-0001-5961-892X
				                	SPIN-код: 5091-5318
																		                												                	Россия, 							посёлок Елатьма						
Ирина Сергеевна Ракитина
Рязанский государственный медицинский университет имени академика И.П. Павлова
														Email: rakitina62@gmail.com
				                	ORCID iD: 0000-0002-9406-1765
				                	SPIN-код: 8427-9471
																		                								
канд. мед. наук, доцент
Россия, РязаньМарина Юрьевна Мареева
Московский областной научно-исследовательский институт акушерства и гинекологии
														Email: akmoniiag@mail.ru
				                	ORCID iD: 0000-0002-8282-493X
				                	SPIN-код: 1680-9107
																		                												                	Россия, 							Москва						
Список литературы
- Allen K.D., Thoma L.M., Golightly Y.M. Epidemiology of osteoarthritis // Osteoarthritis and Cartilage. 2022. Vol. 30, N 2. P. 184–195. doi: 10.1016/j.joca.2021.04.020
- Vina E.R., Kwoh C.K. Epidemiology of osteoarthritis: literature update // Current Opinion in Rheumatology. 2018. Vol. 30, N 2. P. 160–167. doi: 10.1097/BOR.0000000000000479
- Peshkova M., Lychagin A., Lipina M., et al. Gender-Related Aspects in Osteoarthritis Development and Progression: A Review // International Journal of Molecular Sciences. 2022. Vol. 23, N 5. P. 2767. doi: 10.3390/ijms23052767
- Reyes C., Garcia-Gil M., Elorza J.M., et al. Socio-economic status and the risk of developing hand, hip or knee osteoarthritis: a region-wide ecological study // Osteoarthritis and Cartilage. 2015. Vol. 23, N 8. P. 1323–1329. doi: 10.1016/j.joca.2015.03.020
- Chitnavis J., Sinsheimer J.S., Suchard M.A., Clipsham K., Carr A.J. End-stage coxarthrosis and gonarthrosis. Aethiology, clinical patterns and radiological features of idiopathic osteoarthrosis // Rheumatology. 2000. Vol. 39, N 6. P. 612–619. doi: 10.1093/rheumatology/39.6.612
- Katz J.N., Arant K.R., Loeser R.F. Diagnosis and Treatment of Hip and Knee Osteoarthritis: A Review // JAMA. 2021. Vol. 325, N 6. P. 568–578. doi: 10.1001/jama.2020.22171
- Holden M.A., Whittle R., Waterfield J., et al. A mixed methods exploration of physiotherapist’s approaches to analgesic use among patients with hip osteoarthritis // Physiotherapy. 2019. Vol. 105, N 3. P. 328–337. doi: 10.1016/j.physio.2018.08.003
- Kloek C.J.J., Bossen D., de Vries H.J., et al. Physiotherapists’ experiences with a blended osteoarthritis intervention: a mixed methods study // Physiotherapy Theory and Practice. 2018. Vol. 36, N 5. P. 572–579. doi: 10.1080/09593985.2018.1489926
- Thorlund J.B., Turkiewicz A., Prieto-Alhambra D., Englund M. Opioid use in knee or hip osteoarthritis: a region-wide population-based cohort study // Osteoarthritis Cartilage. 2019. Vol. 27, N 6. P. 871–877. doi: 10.1016/j.joca.2019.01.005
- Петрунько И.Л., Меньшикова Л.В., Сергеева Н.В., Черкасова А.А. Остеоартроз: возрастные особенности первичной инвалидности // Забайкальский медицинский вестник. 2018. № 2. С. 41–47. doi: 10.52485/19986173_2018_2_41
- Badura-Brzoza K., Zaja P., Kasperska-Zaja A., et. al. Anxiety and depression and their influence on the quality of life after total in replacement: preliminary report // International Journal of Psychiatry in Clinical Practice. 2008. Vol. 12, N 4. P. 280–284. doi: 10.1080/13651500802095012
- Learmonth I.D., Young C., Rorabeck C. The operation of the century: total hip replacement // The Lancet. 2007. Vol. 370, N 9597. P. 1508–1519. doi: 10.1016/S0140-6736(07)60457-7
- Tong J., Chen Z., Sun G., et al. The Efficacy of Pulsed Electromagnetic Fields on Pain, Stiffness, and Physical Function in Osteoarthritis: A Systematic Review and Meta-Analysis // Pain Research and Management. 2022. Vol. 2022, N 1. P. 9939891. doi: 10.1155/2022/9939891
- Бяловский Ю.Ю., Иванов А.В., Ларинский Н.Е., Секирин А.Б. Локальная импульсная магнитотерапия аппаратом «АЛМАГ+» в комплексном лечении больных остеоартрозом // Врач. 2018. № 12. С. 75–79. doi: 10.29296/25877305-2018-12-19
- Gélinas C., Puntillo K.A., Levin P., Azoulay E. The Behavior Pain Assessment Tool for critically ill adults: A validation study in 28 countries // Pain. 2017. Vol. 158, N 5. P. 811–821. doi: 10.1097/j.pain.0000000000000834
- Talarowska-Bogusz M., Florkowski A., Radomska A., Zboralski K., Gałecki P. Depression and pain in arthrosis of spine and hip in elderly patients // Pol Merkur Lekarski. 2006. Vol. 21, N 126. P. 566–9.
- Sobiś J., Jarząb M., Robert T.H., et al. Therapeutic efficacy assessment of weak variable magnetic fields with low value of induction in patients with drug-resistant depression // Journal of Affective Disorders. 2010. Vol. 123, N 1–3. P. 321–326. doi: 10.1016/j.jad.2009.09.016
- Thamsborg G., Florescu A., Oturai P., et al. Treatment of knee osteoarthritis with pulsed electromagnetic fields: a randomised, double-blind, placebo-controlled study // Osteoarthritis Cartilage. 2005. Vol. 13, N 7. P. 575–581. doi: 10.1016/j.joca.2005.02.012
- Letizia Mauro G., Scaturro D., Gimigliano F., et al. Physical Agent Modalities in Early Osteoarthritis: A Scoping Review // Medicina. 2021. Vol. 57, N 11. Р. 1165. doi: 10.3390/medicina57111165
- Beaulieu K., Beland P., Pinard M., et al. Effect of pulsed electromagnetic field therapy on experimental pain: a double-blind, randomized study in healthy young adults // Electromagnetic Biology and Medicine. 2016. Vol. 35, N 3. Р. 237–244. doi: 10.3109/15368378.2015.1075409
- Blikman T., Rienstra W., van Raay J.A., et al. Neuropathic-like symptoms and the association with joint-specific function and quality of life in patients with hip and knee osteoarthritis // PLoS One. 2018. Vol. 13, N 6. Р. e0199165. doi: 10.1371/journal.pone.0199165
- French H.P., Smart K.M., Doyle F. Prevalence of neuropathic pain in knee or hip osteoarthritis: a systematic review and meta-analysis // Seminars in Arthritis and Rheumatism. 2017. Vol. 47, N 1. Р. 1–8. doi: 10.1016/j.semarthrit.2017.02.008
- Ossenkopp K.P., Kavaliers M. Clinical and Applied Aspects of Magnetic Field Exposure: Possible Role for the Endogenous Opioid Systems // Journal of Bioelectricity. 1988. Vol. 7, N 2. Р. 189–208. doi: 10.3109/15368378809027749
Дополнительные файлы
 
				
			 
						 
					 
						 
									
 
  
  
  Отправить статью по E-mail
			Отправить статью по E-mail 





