Magnetotherapy and intermittent pneumocompression as a metod of rehabilitation of patient with brest cancer in different periods after radical mastectomy
- Authors: Evstigneeva I.S.1, Gerasimenko M.Y.1, Perfileva O.M.1
-
Affiliations:
- Russian Medical Academy of Continuing Professional Education of the Ministry of Health of the Russian Federation
- Issue: Vol 18, No 2 (2019)
- Pages: 68-75
- Section: Original studies
- Published: 11.04.2019
- URL: https://rjpbr.com/1681-3456/article/view/62444
- DOI: https://doi.org/10.17816/1681-3456-2019-18-2-68-75
- ID: 62444
Cite item
Full Text
Abstract
Objective to develop and compare the effectiveness of General magnetic therapy and intermittent pneumocompression in combination with physical therapy and balance therapy, classes with a medical psychologist in patients on day 2–4 and 1.5–2 months after surgical treatment for breast cancer (breast cancer).
Material and methods. 117 patients aged 25 to 70 years were examined and treated after surgical treatment for breast cancer. All patients underwent intermittent pneumocompression at different times after surgery (2–4 days and 1.5–2 months after surgery), followed by General magnetic therapy without interruption.
Results. It was found that this combination of methods of physical rehabilitation helped to reduce pain and postoperative edema, increase the volume of movements in the shoulder joint, prevent the development of severe lymphostasis and improve the quality of life.
Сonclusion. The contribution of General magnetic therapy to the complex of rehabilitation measures is primarily to increase the number of lymphatic collaterals, increase tissue oxygenation and anti-inflammatory effect. Intermittent pneumocompression contribute to the increase in the number of lymphatic collaterals, stimulates lymph flow.
Full Text
АКТУАЛЬНОСТЬ
Каждый год в мире выявляют более 1,5 млн новых случаев заболевания раком молочной железы (РМЖ). В нашей стране заболеваемость РМЖ составляет 89,6 случая на 100 тыс. женского населения. Но большинство женщин, перенесших радикальное лечение РМЖ, сталкивается с целым рядом медицинских, социальных и психоэмоциональных проблем [1]. Реабилитация таких больных в настоящее время особенно актуальна в связи с тем, что успехи в лечении РМЖ за последние годы привели к увеличению сроков жизни пациенток [2]. А если учесть, что более 40% женщин заболевает в трудоспособном возрасте, то становится понятной высокая значимость проблемы реабилитации этой категории больных [3]. Медицинская реабилитация должна включать раннее начало, строго обоснованный выбор методов и этапность выполнения мероприятий [4]. Методы лечения физическими факторами у пациентов с онкологическими заболеваниями широко используется в последние годы [5], но данном этапе необходимо дифференциальное уточнение методик и подходов к терапии в зависимости от сроков оперативного лечения.
Цель исследования — сравнить эффективность различных методик физиотерапии у пациенток, прооперированных по поводу рака молочной железы в разные сроки после оперативного вмешательства.
МАТЕРИАЛ И МЕТОДЫ
Под нашим наблюдением находилось 117 женщины в возрасте от 25 до 70 лет, которым проводилось хирургическое лечение по поводу установленного диагноза РМЖ IВ стадии (Т0N1micМ0), IIА стадии (Т0N1М0; Т1N1М0; Т2N0М0), IIВ стадии (Т2N1М0; Т3N0М0), IIIА стадии (Т3N1М0, Т1-2N2М0). Пациентки методом простой рандомизации были разделены на две группы, сопоставимые по возрасту, клинико-функциональным показателям и различающиеся лишь по назначению общей магнитотерапии (ОМТ) или плацебо в курсах медицинской реабилитации (табл. 1).
Таблица 1. Распределение пациенток по группам (n = 117)
Группа | Нозологическая форма | Назначение ОМТ | Число пациенток |
1-я | РМЖ IВ стадии (Т0N1micМ0), IIА стадии (Т0N1М0; Т1N1М0; Т2N0М0), IIВ стадии (Т2N1М0; Т3N0М0); IIIА стадии (Т3N1М0, Т1-2N2М0) | + | 65 |
2-я | РМЖ IВ стадии (Т0N1micМ0), IIА стадии (Т0N1М0; Т1N1М0; Т2N0М0), IIВ стадии (Т2N1М0; Т3N0М0); IIIА стадии (Т3N1М0, Т1-2N2М0) | Плацебо | 52 |
Примечание. РМЖ — рак молочной желез; ОМТ — общая магнитотерапия. | |||
Группа 1 (основная группа, n = 65) включала женщин, которым на фоне стандартной терапии проводились 2 курса медицинской реабилитации, на 2–4-е сут и через 1,5–2 мес после проведения операции по поводу РМЖ. Каждый курс включал ОМТ, прерывистую пневмокомпрессию (ППК), лечебную физкультуру (ЛФК), баланстерапию и занятия с медицинским психологом.
Группа 2 (группа сравнения, n=52) включала женщин, которым на фоне стандартной терапии проводились 2 курса медицинской реабилитации, на 2–4-е сутки и через 1,5–2 мес после проведения операции по поводу РМЖ. Каждый курс включал в себя: ППК, ЛФК, баланстерапию, занятия с медицинским психологом. ОМТ проводилась с плацебо эффектом (т. е. пациентки ложились в аппараты, в которых не включали магнитную индукцию).
Критерии включения в исследование: установленный диагноз РМЖ IВ стадии (Т0N1micМ0), IIА стадии (Т0N1М0; Т1N1М0; Т2N0М0), IIВ стадии (Т2N1М0; Т3N0М0), IIIА стадии (Т3N1М0; Т1-2N2М0), возраст от 25 до 70 лет. Критерии невключения: возраст моложе 25 лет и старше 70 лет, наличие сопутствующих острых инфекционных заболеваний, тяжелая сопутствующая соматическая патология, психические заболевания (шизофрения, шизотипические и бредовые расстройства, болезнь Альцгеймера, деменция, выраженные расстройства поведения и социальной адаптации, все формы наркомании и хронический алкоголизм), индивидуальная непереносимость процедур магнитотерапии и пнемокомпрессии. Исследование проводили в соответствии с принципами GCP и применимыми национальными нормами, с соблюдением прав и обеспечением безопасности и благополучия участников, которые находились под защитой этических принципов, сформулированных в Хельсинкской декларации. Перед началом исследования было получено добровольное письменное информированное согласие участника исследования. Каждый участник был письменно проинформирован о характере, продолжительности лечебных мероприятий и ожидаемых результатах лечения.
Для оценки качества жизни в обеих группах использовался опросник здоровья MOS SF-36 (Medical Outcomes Study — Short Form 36) в русскоязычной версии. Опросник содержит 36 вопросов, которые объединены в восемь шкал: физического функционирования (ФФ), ролевого функционирования (РФ); интенсивности боли (ИБ); общего здоровья (ОЗ); жизнеспособности (ЖС); социального функционирования (СФ); ролевого эмоционального функционирования (РЭФ); психического здоровья (ПЗ). Показатели ФФ, РФ, ИБ, ОЗ характеризуют физическое здоровье, показатели ЖС, СА, РЭФ, ПЗ — психологическое здоровье. Значения каждой шкалы варьируют между 0 и 100 баллами, где 100 представляет полное здоровье. Пациентки либо самостоятельно заполняли предлагаемые карты, либо опрос больных проводился путем интервьюирования.
Были проведены антропометрические измерения пациенток обеих групп для объективной оценки состояния и его динамики: определение степени отека на основании величины окружности средней трети плеча и предплечья на обеих верхних конечностях на симметричных уровнях (одинаковое расстояние до кончиков пальцев в сантиметрах); определение объёма движений в плечевых суставах с помощью угломера: отведение во фронтальной плоскости, сгибание и разгибание в сагиттальной плоскости. Кроме того, оценивали состояние послеоперационной раны (гиперемию, отечность краев раны, инфильтрацию паравульнарных тканей, уровень боли, наличие отделяемого и локализацию патологического процесса в ране) по 20-балльной шкале, общий результат подсчитывали путем суммирования цифровых показателей состояния раны.
При исследовании системы гемостаза определяли тромбиновое время, концентрацию фибриногена в плазме. Кроме того, пациенткам выполнили общий анализ крови.
Инструментальное исследование: ультразвуковое исследовании толщины тканей отечной верхней конечности по сравнению с аналогичными тканями здоровой конечности. Также для объективной оценки стадий развития лимфедемы, влияния физических факторов на динамику процесса применяли дистационную инфракрасную термографию. Для проведения термографии использовали медицинский термограф «ИРТИС 2000-МЕ» (ООО «ИРТИС/IRTIS», Россия; регистрационное удостоверение № ФСР 2011/11914 от 15 сентября 2011 г.). Интерпретацию данных термографии производили с помощью программного обеспечения для количественного и качественного анализа изображений TescanAtlas (Tescan, Чехия) и AnalySIS 5.0 (Olimpus, Япония). Для контроля точности полученных результатов использовали программу Image-ProPlus 6.0 (MediaCybernetics, США).
Пациенткам 1-й группы на фоне комплексной терапии в раннем послеоперационном периоде (2–4-е сутки) по запатентованной методике [6] в один день последовательно проводили ППК на обе нижние конечности и туловище на аппарате PulsepressPhysio 12 Pro (MJS Healthcare Ltd, Великобритания; регистрационное удостоверение № РЗН 2014/1830 от 08.08 2014), затем без перерыва проводилась ОМТ на установке магнитотерапевтической с регулировкой частоты, модуляции и индукции вращающегося магнитного поля «Магнитотурботрон» (ООО НПФ «ММЦ «МАДИН», Россия; рег. уд. № ФСР 022а2004/0613-04 от 21.09.2004), создающей равномерно вращающиеся вокруг продольной оси пациента импульсные магнитные поля с вариациями индукции 0–3,5 мТл, с частотой 50–150 Гц, 5 раз в неделю, курсом из 15 процедур.
Через 1,5–2 мес на фоне комплексной терапии эта группа больных получала 2-й курс реабилитации, в которую включали следующие физиотерапевтические процедуры: ППК прооперированной верхней конечности и противоположной нижней конечности, затем без перерыва проводилась ОМТ на аппарате УМТИ-3Ф «Колибри-эксперт» (ООО НПФ «ММЦ «МАДИН», Россия; регистрационное удостоверение № ФСР 2011/11030 от 21.06.2011). Применяли низкочастотное импульсное «бегущее» магнитное поле с частотой 100 Гц с вращением поля 1–2–3 в одну сторону (режим I на аппарате УМТИ-ЗФ «Колибри-эксперт»), в 1–2-ю процедуры величина магнитной индукции составляла 30% от максимального значения 3,5 мТл, с 3-й процедуры индукция увеличивается 75% от максимального значения 3,5 мТл, с 12-й по 15-ю процедуры величина магнитной индукции составляла 50% от максимального значения 3,5 мТл. Продолжительность процедуры — 20 мин, 5 раз в неделю, на курс 15 процедур.
Пациенткам 2-й группы на фоне комплексной терапии в раннем послеоперационном периоде (2–4-е сутки) в один день последовательно проводили ППК на нижние конечности и туловище на аппарате PulsepressPhysio 12 Pro, затем без перерыва проводилась плацебо процедура на установке магнитотерапевтической «Магнитотурботрон», в аппарате не включали магнитное поле. Процедуры проводились 5 раз в неделю, курс — 15 процедур. Через 1,5–2 мес на фоне комплексной терапии эта группа больных получала 2-й курс реабилитации, в него включили ППК прооперированной верхней конечности и противоположной нижней конечности, затем без перерыва проводили плацебо процедуру на аппарате УМТИ-3Ф «Колибри-эксперт» продолжительностью 20 мин. Процедуры проводились 5 раз в неделю, на курс 15 процедур.
Также у всех пациенток в программу реабилитации входили ежедневные занятия ЛФК (дыхательные упражнения и комплекс, направленный на повышение подвижности в плечевом суставе и увеличение объёма движения верхних конечностей с постепенно возрастающей нагрузкой) и тренировки с биологической обратной связью по опорной реакции (баланстерапия, принцип работы которой основан на самостоятельном управлении позой). Все пациентки проходили курс индивидуальных занятий у медицинского психолога.
Полученные результаты оценивали непосредственно перед лечением, после окончания курса процедур и через 2 мес после окончания лечения. Все полученные данные были обработаны с помощью программы Microsoft Office Exсel (2010) и пакета прикладных статистических программ для медико-биологических исследований Statistica 10.0/W RUS. Для анализа количественных переменных применялся метод однофакторного дисперсионного анализа и критерий Манна–Уитни, анализ категориальных переменных проводился при помощи критерия χ2 Пирсона. Достоверность отличий внутри группы полученных за период наблюдения оценивали с помощью t-критерия Вилкоксона. Различия считались достоверными при p < 0,05.
РЕЗУЛЬТАТЫ
У пациенток обеих групп отмечалась хорошая переносимость всего лечебного комплекса. При проведении процедур не наблюдалось отрицательных реакций. Ни в одном из случаев не потребовалось прерывания или отмены курса проводимой терапии.
Динамика показателей качества жизни, связанного со здоровьем, у пациенток после проведения операции по поводу РМЖ представлена в табл. 2.
Таблица 2. Динамика показателей качества жизни пациенток после операции на молочной железе по поводу рака молочной железы по данным опросника MOS SF-36 (M ± SD, баллы)
Шкала MOS SF-36 | ОЗ | ФФ | РФ | ИБ | ЖС | СФ | РЭФ | ПЗ |
1 группа (n = 65) | ||||||||
До реабилитации | 25,1 ± 2,2 | 22,2 ± 2,1 | 33,9 ± 1,2 | 24,5 ± 4,5 | 29,2 ± 3,2 | 41,1 ± 4,2 | 29,2 ± 3,2 | 33,9 ± 4,1 |
После 1-го курса реабилитации | 39,9 ± 1,5* | 43,9 ± 1,2* | 49,7 ± 3,9* | 42,7 ± 3,9* | 42,2 ± 4,5* | 57,5 ± 1,7* | 44,7 ± 3,9* | 48,7 ± 4,2* |
Через 1,5–2 мес после | 54,2 ± 2,1* | 44,3 ± 1,5* | 55,2 ± 2,7* | 72,3 ± 6,3* | 65,1 ± 2,3* | 76,9 ± 3,7* | 57,4 ± 2,8* | 59,8 ± 5,1* |
После 2-го курса реабилитации | 74,6 ± 1,9* | 56,3 ± 1,8* | 76,2 ± 1,7* | 82,5 ± 4,3* | 76,1 ± 4,3* | 81,9 ± 2,7 | 74,5 ± 2,2* | 68,5 ± 3,4* |
Через 4 мес после операции | 85,2 ± 1,1* | 78,3 ± 1,6* | 85,2 ± 2,7* | 91,3 ± 2,3* | 81,1 ± 1,3* | 89,9 ± 3,7* | 85,4 ± 1,8* | 75,2 ± 3,5* |
2 группа (n = 52) | ||||||||
До реабилитации | 25,4 ± 1,2 | 21,9 ± 2,3 | 33,2 ± 1,1 | 25,7 ± 3,2 | 28,8 ± 2,1 | 40,8 ± 3,5 | 29,5 ± 3,1 | 33,7 ± 3,8 |
После 1-го курса реабилитации | 33,5 ± 1,5* | 35,9 ± 1,4* | 36,7 ± 3,9* | 35,7 ± 2,8* | 30,3 ± 4,7 | 41,2 ± 3,9 | 38,6 ± 6,3 | 41,6 ± 6,3 |
Через 1,5-2 мес после | 37,4 ± 4,4 | 53,4 ± 7,3 | 39,8 ± 4,2 | 44,2 ± 3,2 | 42,2 ± 4,5* | 57,5 ± 1,7* | 44,7 ± 3,9* | 48,7 ± 5,2* |
После 2-го курса реабилитации | 53,5 ± 1,7* | 72,1 ± 3,9* | 48,6 ± 3,2* | 62,1 ± 4,7* | 53,4 ± 5,3* | 65,8 ± 3,7* | 51,1 ± 2,3* | 50,4 ± 3,8* |
Через 4 мес после | 68,3 ± 1,5* | 79,1 ± 4,1 | 58,6 ± 3,4* | 79,1 ± 4,5* | 63,5 ± 4,4* | 75,8 ± 3,9 | 74,1 ± 2,5* | 53,5 ± 1,7* |
Примечание: * — достоверные различия (р < 0,05) между 1-й и 2-й группами. MOS SF-36 — Medical Outcomes Study — Short Form 36. ОЗ — общее здоровье, ФФ — физическое функционирование, РФ — ролевое функционирование, ИБ — интенсивность боли, ЖС — жизнеспособность, СФ — социальное функционирование, РЭФ — ролевое эмоциональное функционирование, ПЗ — психическое здоровье.
Как видно из табл. 2, после проведенного лечения у пациенток всех групп по сравнению с исходным уровнем повысились показатели качества жизни, это, вероятно, обусловлено фактом начала реабилитации и работой с пациентом специалистов различных специальностей (хирург-онколог, врач-физиотерапевт, врач по ЛФК, медицинский психолог). У пациенток 1-й группы такие показатели, как ОЗ, ФФ, РФ, ИБ, и ЖС, после проведенного лечения были выше (р < 0,05), чем во 2-й группе, и продолжали увеличиваться после завершения 2-го курса реабилитации в 1,3–1,5 раза, что, вероятно, обусловлено обезболивающего, противовоспалительного, иммунокоррегирующего действия ОМТ, снижением ситуативной и личностной тревоги, устранением астеновегетативных проявлений, улучшением сна, а также пролонгацией этих эффектов.
На фоне проводимого лечения в ранний послеоперационный период у пациенток из обеих групп, снижался суточный объём лимфореи (СОЛ) через дренаж и СОЛ, эвакуированного после снятия дренажа шприцами (СОЛШ). Отмечалось снижение сроков лимфореи из дренажа на 3–5-е сутки (рис. 1), эти показатели были практически одинаковыми и не имели достоверных различий.
Рис. 1. Снижение суточного объёма лимфореи у пациенток в ранний послеоперационный период
У пациенток, прошедших 1-й курс реабилитации через 1,5–2 мес после оперативного лечения, обращала на себя внимание разница в величине окружности между здоровой конечностью и конечностью со стороны оперативного вмешательства. Так, у участниц 1-й группы, которым проводилась ОМТ, эти показатели были меньше, чем у пациенток 2-й группы (табл. 3), достоверные показатели разницы в величине окружности наблюдались и в отдаленные сроки после 2-го курса реабилитации (4 мес после операции), это говорит о необходимости включения в курс реабилитации ОМТ на разных сроках после оперативного лечения РМЖ.
У всех пациенток после оперативного лечения по поводу РМЖ объём движений в плечевом суставе на стороне оперативного вмешательства был снижен по сравнению с нормальными значениями. Так, у пациенток 1-й группы были зарегистрированы следующие показатели: амплитуда сгибания — 60 ± 1,3º, разгибания — 18 ± 0,5º и отведения — 65 ± 1,4º; во 2-й группе: амплитуда сгибания — 62 ± 1,3º, разгибания — 19 ± 0,5º и отведения — 66 ± 1,4º. После завершения курса лечения эти функции улучшились. В 1-й группе: сгибание — до 95 ± 2,4º, разгибание — 24 ± 0,8º, отведение — до 100 ± 1,5º; во 2-й группе: сгибание — до 84 ± 1,8º, разгибание — 22 ± 0,8º, отведение — до 95 ± 1,5º (р < 0,05 для всех показателей при сравнении до и после лечения) (рис. 2).
Таблица 3. Разница в величине окружности между здоровой и пораженной конечностью (M ± SD, см)
Уровень измерения | На 5 см выше локтевого сустава | На уровне средней трети предплечья | На уровне середины кисти через основание m. thenar |
1 группа (n = 65) | |||
До реабилитации | 7,32 ± 0,02 | 5,2 ± 0,01 | 3,9 ± 0,01 |
После 1-го курса реабилитации | 5,53 ± 0,01 | 3,9 ± 0,01 | 2,1 ± 0,01 |
Через 1,5–2 мес после реабилитации | 4,2 ± 0,01* | 3,5 ± 0,02* | 1,83 ± 0,2* |
После 2-го курса реабилитации | 2,4 ± 0,01 | 1,6 ± 0,04 | 1,5 ± 0,02 |
Через 4 мес после реабилитации | 0,9 ± 0,01* | 0,3 ± 0,05* | 0,3 ± 0,01 |
2 группа (n = 52) | |||
До реабилитации | 7,24 ± 0,02 | 5,1 ± 0,03 | 4,2 ± 0,02 |
После 1-го курса реабилитации | 6,8 ± 0,02 | 4,3 ± 0,03 | 2,6 ± 0,01 |
Через 1,5–2 мес после реабилитации | 5,5 ± 0,01* | 3,9 ± 0,03* | 2,9 ± 0,01* |
После 2-го курса реабилитации | 2,9 ± 0,01 | 2,1 ± 0,01 | 1,8 ± 0,02 |
Через 4 мес после реабилитации | 1,8 ± 0,02* | 1,5 ± 0,3* | 1,9 ± 0,02* |
Примечание: * — достоверные различия (р < 0,05) между показателями в 1-й и 2-й группах.
Рис. 2. Сравнительная характеристика объёма движений в плечевом суставе на стороне операции у пациенток в разные сроки после оперативного лечения
* — достоверность различий между группами до и после лечения на уровне р < 0,05.
Через 2 мес в 1-й группе сгибание в плечевом суставе составило 160 ± 2,5º, разгибание — 30,0 ± 0,8º, отведение — 165 ± 1,5º, во 2-й группе: сгибание 155 ± 2,5º, отведение 124 ± 1,8º, разгибание — 24 ± 0,5º (р < 0,05 для всех показателей до и после лечения). После 2-го курса реабилитации показатели объёма движений у пациенток из 1-й группы продолжали нарастать до достижения показателей нормы 175 ± 1,5º сгибание и отведение, разгибание 43 ± 1,2º, в то время как во 2-й группе эти показатели были ниже: 165 ± 1,8º — сгибание, 150 ± 1,5º — разгибание, 33 ± 1,2º — отведение. Следовательно, объём движений в плечевом суставе на стороне оперативного вмешательства лучше восстановился у пациенток 1-й группы. Этот факт также свидетельствует о целесообразности раннего начала реабилитационных мероприятий с включением физических факторов и продолжения следующего курса через 1,5–2 мес после оперативного лечения.
Для объективной диагностики состояния рубцов, зоны послеоперационного воспаления, и постлучевого фиброза использовали современные методы инструментальной диагностики: дистанционной инфракрасной термографии, лазерной доплеровской флоуметрии, ультразвуковая диагностика мягких тканей. У пациенток обеих групп, после операционного вмешательства на 2–4-е сутки выявлялась патологическая гипертермия в плечелопаточной области, верхней грудной области и плеча с превышением значений на 1,19 ± 0,29 ºС. Зоны патологической гипертермии свидетельствуют о нарушении локального крово- и лимфообращения, наличии венозного застоя. До начала лечения у пациенток обеих групп наблюдались выявленные зоны патологической гипертермии, которые свидетельствуют о нарушении локальной гемодинамики (в том числе обусловленном асептическим воспалительным процессом в месте оперативного вмешательства), а также о наличии венозного застоя и мышечно-тонического синдрома плечелопаточной области. Однако среди пациенток 1-й группы после 1-го курса лечения патологическая гипертермия была выявлена только у 19 человек (30%), а во 2-й группе — у 20 (38%) (рис. 3).
Рис. 3. Снижение зоны патологической гипертермии у пациенток в разные сроки после оперативного лечения
Учитывая различия антропометрических данных пациентов, представлялось неинформативным определение средних по группам значений площади поверхности зон патологической температуры. Улучшение температурных характеристик наблюдались через 2 мес после лечения у пациенток из 1-й группы, что говорит о пролонгации клинического эффекта при сочетанном применения ППК и ОМТ (7 (11%) и 10 (19%), а после 2-го курса реабилитации у 3 (5%) пациенток из 1-й группы и 5 (10%) из 2-й группы сохранялась патологическая гипертермия в плечелопаточной области и плеча с превышением значений на 0,78 ± 0,22ºС, что свидетельствует о наличии остаточных явлений нарушения локального крово- и лимфообращения; через 4 мес зоны патологической гипертермии не были выявлены у пациенток из 1-й группы, а во 2-й группе оставались у 4 (8%) пациенток, что говорит о положительной динамике нарушенных термографических показателей, при включении в комплекс реабилитационных ОМТ.
На ультразвуковом исследовании был выявлен отек мягких тканей, определяемый локальной пониженной эхогенности мягких тканей с неровными и нечеткими контурами. Через 2 мес после оперативного лечения наблюдалось исчезновение отека в области послеоперационного рубца, плечелопаточной области 60 (92%) пациенток из 1-й группы и 44 (85%) участниц 2-й группы, а через 4 мес признаки отека мягких тканей практически не наблюдали, причем наиболее выраженные изменения были получены при комплексном лечении, тогда как во 2-й группе отек сохранялся в области послеоперационного шва и плечелопаточной области у 5 (10%) человек.
Биохимические показатели крови у пациентов, такие как общий белок, белковые фракции, АЛТ, АСТ, щелочная фосфатаза, кальций, креатинин, мочевина, глюкоза, билирубин, гамма-ГТ, находились в пределах референсных значений. Эти показатели сохранялись после окончания лечения, и не изменялись в отдаленные сроки, через 2 и 4 мес.
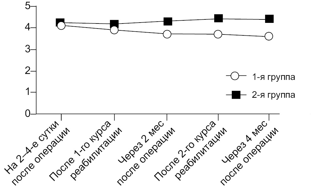
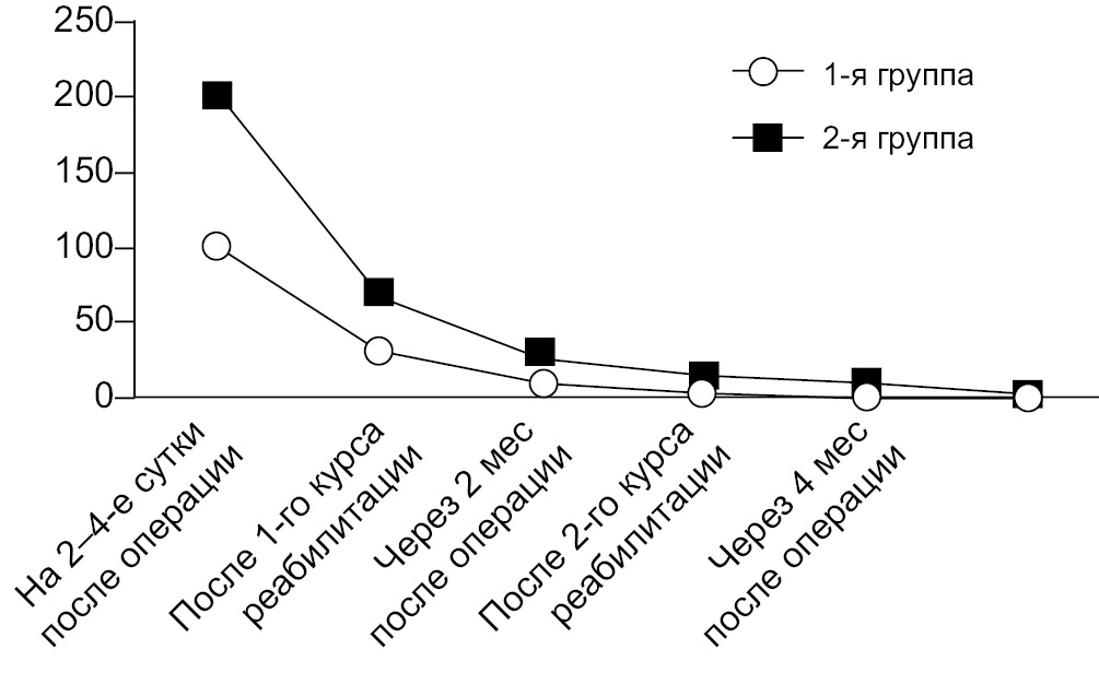
В настоящем исследовании была изучена динамика ряда показателей свертывающей системы крови у женщин после операции по поводу РМЖ, поскольку повышение вязкости крови может усугубить патологический процесс в связи со снижением функции доставки кислорода (рис. 4, 5).
Рис. 4. Показатели уровня фибриногена, г/л
Рис. 5. Показатели уровня протромбинового времени, секунды
У пациенток из 1-й группы после окончания курсового воздействия с применением ОМТ мы наблюдали снижение вязкости крови, а именно снижение фибриногена, и протромбинового времени. что вероятно было обусловлено механизмом действия магниторерапии. Снижение концентрации фибриногена сохранялось в течение 4 мес и достигало 10%, а снижение протромбинового времени было зарегистрировано сразу после окончания лечения и также сохранялось в течение 4 мес наблюдения. Этот параметр был выше исходных значений на 15%.
ОБСУЖДЕНИЕ
Целесообразно назначать пациенткам, перенесшим оперативное лечение по поводу РМЖ, курс ОМТ в сочетании с ППК нижних конечностей в раннем послеоперационном периоде, а через 1,5–2 мес — сочетание ОМТ и ППК верхней конечности со стороны оперативного лечения и противоположной нижней конечности, лечебной физкультуры с баланстерапией и занятий у медицинского психолога. Обоснованием к назначению вышеуказанных реабилитационных мероприятий является патогенетически их обоснованное влияние на механизм развития постмастэктомического синдрома, где имеют значение нарушения сосудистой микроциркуляции, уменьшение проявлений синдрома воспаления (отека, гиперемий, болей, нарушение функций), улучшение регенерации различных тканей (нормализация скорости заживления, регенерации, сокращения фазы воспаления, улучшения качества рубцевания), улучшение общего самочувствия у пациентов в раннем послеоперационном периоде. Это связано с тем, что длительный воспалительный процесс и лимфорея приводят к выраженным рубцовым изменениям в областях лимфаденэктомии, оказывают прямое влияние на развитие постмастэктомического отека у пациенток, не получавших медицинскую реабилитацию.
Благодаря тому, что в при комплексном воздействии, включающем ОМТ, ППК нижних конечностей и туловища применяются основные принципы рефлексотерапии, а именно метод «ляо цы», суть которого состоит в том, что при патологии (повреждении) какой-то части тела активируют точки противоположной стороны, так как повреждение есть следствие дисбаланса между правой и левой половиной тела. Используя данную методику, мы имеем возможность проводить процедуры уже в ранний послеоперационный период (2–4-е сутки), что снижает риск послеоперационных осложнений, а именно развитие гнойно-воспалительных процессов, которые приводят к образованию рубцовых деформаций. За счет активизации лимфатической системы нижних конечностей и туловища происходит уменьшение лимфостаза верхней конечности после радикальной мастэктомии, это объясняется тем что, при повреждение лимфатических сосудов лимфооток от молочной железы происходит окольным путем через анастамозы, к подмышечным узлам противоположной стороны, а также к паховым лимфатическим узлам [7]. Благодаря воздействию на кожу и тканевые структуры области нижних конечностей и туловища с помощью ОМТ улучшается общий лимфоотток, что не приводит к застою лимфы в прооперированной области [8].
Лимфедема является типичным высокобелковым отеком, который приводит к недостаточной оксигенации тканей из-за нарушения межклеточных контактов, необходимых для беспрепятственной циркуляции газа, в свою очередь гипоксия замедляет функционирование клеток. При лимфедеме избыточная концентрация белка действует как активатор хронического воспаления. Магнитное поле повышает оксигенацию тканей, оказывает гипокоагулирующее, противоотечное, противовоспалительное действие и обладает седативным эффектом [9]. Пролонгацию противоотечного действия ОМТ при сочетании с ППК можно объяснить за счет ответных реакций организма на действие магнитного поля в виде физико-химических изменений в первичных механизмах гомеостаза и уменьшению возможности формирования белковых отеков, а также включению неспецифических адаптационных реакций иммунной, гуморальной и нервной системы. ОМТ оказывает нормализующее действие на вегетативный и психоэмоциональный статус за счет избирательного действия на возбудимость гипоталамуса корковых и подкорковых структур головного мозга [10].
ЗАКЛЮЧЕНИЕ
Было установлено, что назначение медицинской реабилитации у пациенток после операций по поводу РМЖ в ранние сроки (на 2–4-е сутки) и через 1,5–2 мес после оперативного вмешательства способствовало уменьшению болевого синдрома и послеоперационного отека, увеличению объёма движений в плечевом суставе, предупреждению развития тяжелой степени лимфостаза и улучшению качества жизни.
Также было показано, что в комплекс реабилитации целесообразно включать ОМТ в комплексе с ЛФК, баланстерапией и занятий у медицинского психолога имеет широкие функциональные возможности и позволяет получить выраженный и долговременный клинический эффект.
About the authors
Inna S. Evstigneeva
Russian Medical Academy of Continuing Professional Education of the Ministry of Health of the Russian Federation
Email: mgerasimenko@list.ru
ORCID iD: 0000-0001-9128-0965
SPIN-code: 5163-7726
MD, PhD
Russian Federation, MoscowMarina Yu. Gerasimenko
Russian Medical Academy of Continuing Professional Education of the Ministry of Health of the Russian Federation
Author for correspondence.
Email: mgerasimenko@list.ru
ORCID iD: 0000-0002-1741-7246
SPIN-code: 7625-6452
MD, D.Sci., Professor
Russian Federation, MoscowOksana M. Perfileva
Russian Medical Academy of Continuing Professional Education of the Ministry of Health of the Russian Federation
Email: mgerasimenko@list.ru
SPIN-code: 5453-5031
Russian Federation, Moscow
References
- Malignant neoplasms in Russia in 2017 (morbidity and mortality). Ed. AD Kaprina, VV Starinskogo, GV Petrovoj. Moscow; 2018. (in Russ).
- Gerasimenko MYu. Results and prospects of development of medical rehabilitation and balneology. Physiotherapy, Balneology and Rehabilitation. 2017;6(1):4-5. doi: 10.18821/1681-3456-2017-16-1-4-5. (in Russ).
- Semiglazova TYu, Klyuge VA, Kasparov BS, et al. International model of rehabilitation of cancer patients. Medicinskij sovet = Medical Council. 2018;10:108-116. doi: 10.21518/2079-701X-2018-10-108-116. (in Russ).
- Kizhaev EV, Borisov VI, Kizhaev YuE. Breast cancer: Clinic. Diagnostics. Treatment. Moscow: Printallogi; 2018. (in Russ).
- Yudin VA, Savkin ID. The treatment of lymphedema of the limbs (review). Rossijskij mediko-biologicheskij vestnik imeni akademika I.P. Pavlova. 2015;4:145-153. (in Russ).
- Russian patent for invention No. 2687599/22.11.2018 Evstigneeva IS, Gerasimenko MYu, Kulikov AG, et al. Method of treatment of postmasectomy syndrome. (In Russ).
- Gerasimenko MYu, Evstigneeva IS, Kulikov AG, Strazhev SV. Application of the general magnetotherapy and faltering pneumocompression in the early postoperative period at patients after the radical mastectomy. Vestnik vosstanovitel'noj mediciny. 2018;6(88):85-90. (in Russ).
- Kir'yanova VV, Chaban AA, Makarov EA. Effect of abdominal decompression on the state of the microcirculatory bed in patients with reflex manifestations of osteochondrosis of the lumbosacral spine. Physiotherapy, Balneology and Rehabilitation. 2016;15(1):29-34. doi: 10.18821/1681-3456-2016-15-1-29-34. (in Russ).
- Kruglova LS, Afanasieva EA, Kotenko KV, Korchazhkina NB. The use of physiotherapy methods in the rehabilitation of patients with cancer. Physiotherapy, Balneology and Rehabilitation. 2016;15(2):97-101. doi: 10.18821/1681-3456-2016-15-2-97-101. (in Russ).
- Epifanov VA, Korchazhkina NB. Medical rehabilitation in obstetrics and gynecology: Monography, Moscow: GEOTAR-Media; 2019. (in Russ).
Supplementary files







